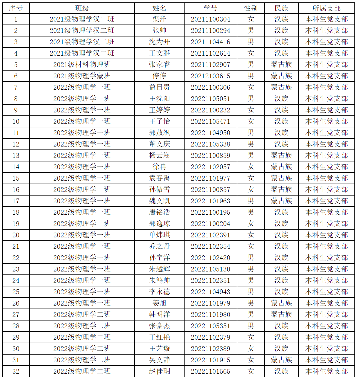
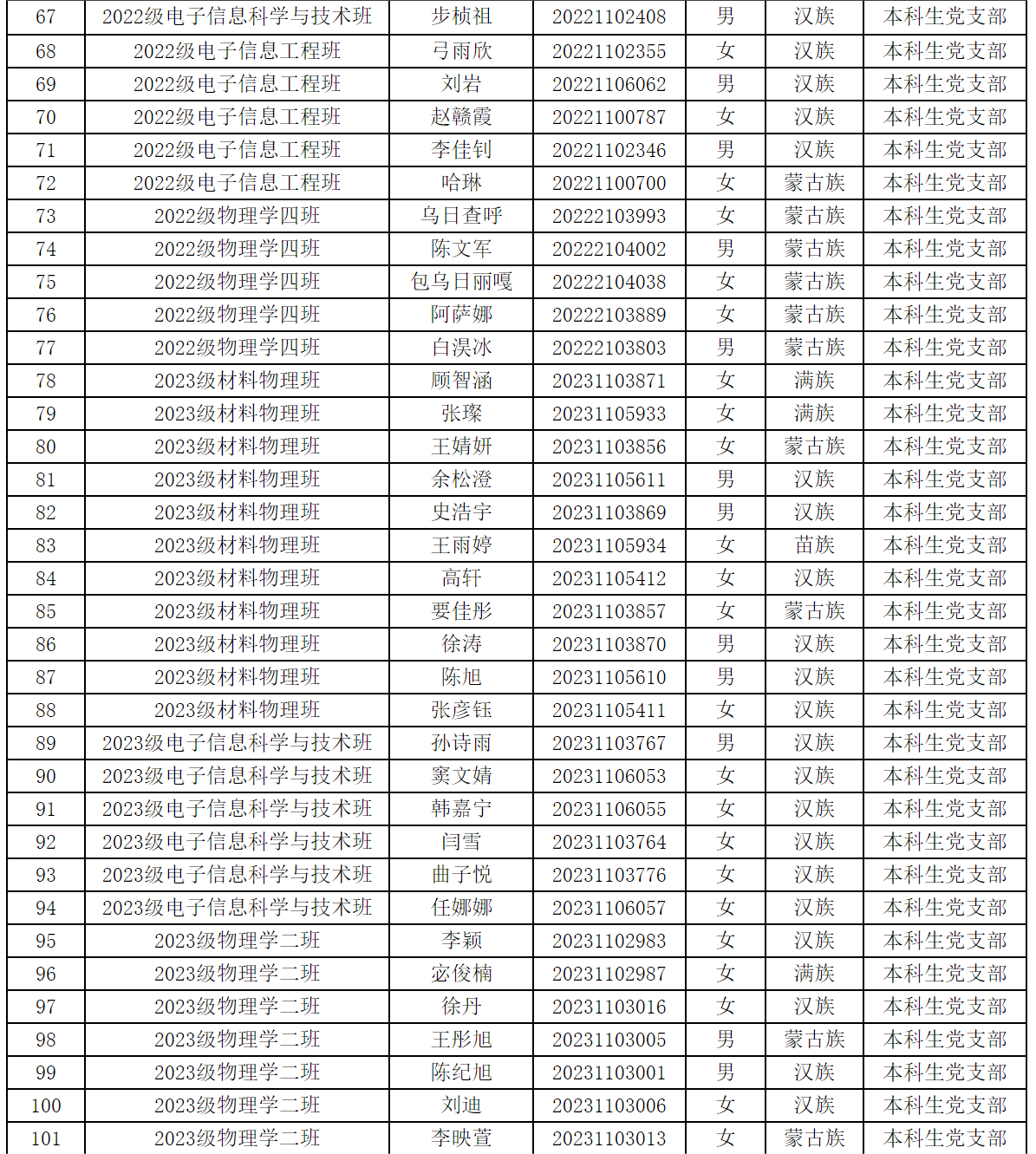
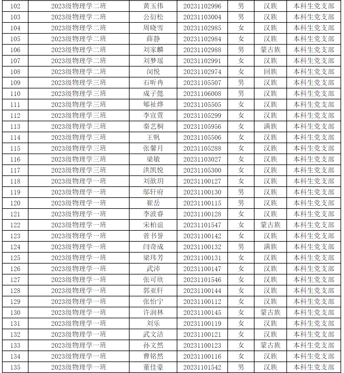
根据发展党员工作有关规定,经yl23455永利集团本科生党支部召开支部委员会讨论,同意确定渠洋等141名同志为第二十一期入党积极分子。
根据党章及中国共产党发展党员工作细则的有关规定,现予以公示,接受党员群众监督。凡对公示对象有意见及异议者,请在公示期内以口头或书面形式向本科生党支部或yl23455永利集团党委反映。
(后附名单)
公示期:2024年4月15日﹣4月19日,共5天。
联系电话:0471-7383860、18586031945
yl23455永利集团本科生党支部
2024年4月15日




